Die Landwirtschaft verursacht einen beachtlichen Teil der Treibhausgasemissionen der Schweiz. Insgesamt sind es 13 Prozent, davon entfällt über die Hälfte auf die Milchviehbetriebe. Da sich die Schweiz mit der Ratifizierung des Klimaübereinkommens von Paris dazu verpflichtet hat, ihre Treibhausgasemissionen bis 2030 um 50 % zu reduzieren, sind auch in der Landwirtschaft Emissionsminderungsmassnahmen gefordert. Um deren Wirksamkeit für die speziellen Bedingungen der raufutterbasierten Milchproduktion zu prüfen, müssen die Emissionen auf Betriebsebene beziffert werden können, schreibt die HAFL in einem Bericht.

Im Rahmen des Projektes «Klimaschonende und ressourceneffiziente Milchproduktion», das durch die Aaremilch AG umgesetzt und von Nestlé sowie dem Bundesamt für Landwirtschaft finanziert wurde, entwickelte die HAFL dazu das einzelbetriebliche Treibhausgasbilanzierungsmodell KLIR. Das Modell wurde auf 46 Milchviehbetrieben der Aaremilch AG im Raum Bern getestet.

KLIR-Modell berechnet jährliche Treibhaugasemissionen

«Im KLIR-Modell werden die Treibhausgasemissionen mechanistisch anhand der Entstehungsprozesse auf dem Einzelbetrieb ermittelt», schreibt die HAFL im Forschungsbericht. So können mit KLIR die jährlichen Treibhausgasemissionen, ausgedrückt in CO2– Äquivalenten, eines Milchviehbetriebs berechnet und die Auswirkungen von Minderungsmassnahmen modelliert werden. Da sich viele Reduktionsmassnahmen in der Literatur auf die Fütterung beziehen, stehe in KLIR die Futterration der Betriebe im Fokus, heisst es weiter.

 

Die Berechnungen basieren auf international anerkannten und spezifisch an die Schweiz angepassten Berechnungsmethoden und können sowohl Online als auch mit einer Excel-Anwendung durchgeführt werden. Sie beinhalten sowohl direkte als auch indirekte Emissionen aus der enterischen Fermentation, der Futtermittelproduktion, dem Hofdüngermanagement und dem Stromverbrauch.

Lesen Sie den gesamten Forschungsbericht hier.

 

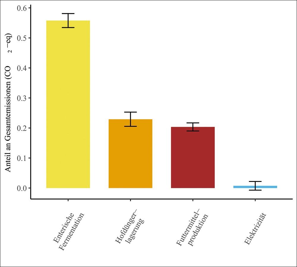
Über die Hälfte aus der enterischen Fermentation

Den grössten Teil der Treibhausgasemissionen tragen gemäss KLIR mit rund 56 % die Methanemissionen aus der enterischen Fermentation bei. Die entstehen beim Aufschluss von Kohlenhydraten durch Mikroorganismen im Pansen. Rund 23 % entfielen auf die Hofdüngerlagerung und 20 % auf die Futtermittelproduktion. Die Emissionen aus dem Stromverbrauch seien im Mittel der Betriebe bezogen auf die Gesamtemissionen vernachlässigbar, heisst es weiter. Der Grund dafür sei, dass 78 % der Betriebe Strom aus erneuerbaren Ressourcen beziehen.

[IMG 2]

In Bilanzierungsmodellen müssen die Grenzen Betrachtung definiert werden. In KLIR ist dies der Milchviehbetrieb, obwohl auch die Emissionen aus Vorleistungen wie Futtermittel- oder Düngerproduktion miteinbezogen werden. Die Ausmast überzähliger Jungtiere, die Emissionen aus der Herstellung von Gebäuden sowie die Kohlenstoffbilanz landwirtschaftlicher Böden wurden in den Berechnungen jedoch nicht berücksichtigt.

Zahlen sind tiefer als erwartet

Die mittleren Treibhausgasemissionen der 46 Testbetriebe liegen mit 1,01 kg CO2-Äquivalenten nach Fett- und Proteingehalt standardisierter Milch (ECM) tiefer als bisher für die Schweiz angenommen, schreibt die HAFL. Im internationalen Vergleich der hoch spezialisierten Milchproduktionsstandorte liegen die untersuchten Betriebe im mittleren Bereich.

Da die Milchviehhaltung immer auch mit der Rindfleischproduktion verbunden ist, wurden zur Zuordnung oder Allokation der Emissionen aus Milch und Fleisch unterschiedliche Methoden erprobt. Durch die Allokation auf das Hauptprodukt Milch und Koppelprodukt Fleisch sinken die Emissionen pro kg ECM deutlich auf 0,75 – 0,77 kg CO2-Äquivalente, so die HAFL.